Narendra Jana

US Cell: 1(781)223-5780

This listing is made according to the sequence of events that occured to result in an assault (the assault is collectively by Sharp Hospital and Dr. Paul Raffer, neurologist in Sharp Hospital):

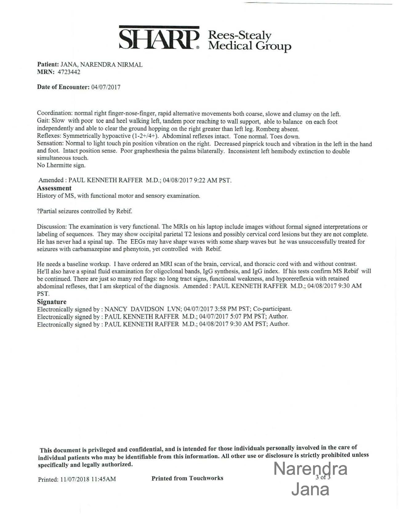
April 7th appointment with Dr. Paul Raffer in Sharp Rees-Stealy Downtown:

Falsified Discharge Summary Falsified Discharge Summary
Falsified Discharge Summary

Statement by Statement negation (commentary) of the above document:

Falsified Discharge Summary Falsified Discharge Summary
Falsified Discharge Summary Falsified Discharge Summary
Falsified Discharge Summary Falsified Discharge Summary

ER April 29th 2017 - Assault in a medical setting by witholding medications in Sharp Hospital for a Multiple Sclerosis Relapse.

Perpetuated assult by a clinician in ER followed another outpatient with Dr. Raffer on May 12th 2017.

The course of events in the ER/Wardroom setting on April 29th 2017 are given below:

In this instance of assault (withholding medical treatment in an emergency situation to physically harm the patient) the patient (me) presents with optic neuropathy that is clearly presented in ER along with typical symptoms of a MS exacerbation.

Though the ER report (shown below) is kept vague the recordings are explicit to show the entire situation including the level and extent of optic neuropathy and peripheral symptoms, collectively this is non-trivial clinical harm:

1. Initial Contact with the ER Intake:

Its apparent that the physical harm in this medical institution is international.

2. The ER Physician Does a Eye Test to Determine Clear Optic Neuropathy:

The audio recording describes the entire situation and the severity of the situation. Including recording of the nature of the optic neuropathy.

The symptoms are described with explicit detail and a eye test is done to show the clear optic neuropathy.

I have spinal cord lesions that's why I couldn't feel my peripheral extremities and certain parts of my face as described in explicit detail in the audio.

3. Conversation with the First ER Doctor who also Determines that I have Clear Optic Neuropathy and the typical peripheral symptoms of MS:

Though I do have the typical symptoms of a MS relapse the ER doctor cites Dr. Raffer to deny medical treatment for the condition. It was Dr. Raffer that perpetuated assault in this setting, since he has the clinical data to demonstrate that I have MS he also denied medicla treatment in the ER.

Though I do have the typical symptoms of a MS relapse the ER doctor cites Dr. Raffer to deny medical treatment for the condition. It was Dr. Raffer that perpetuated assault in this setting, since he has the clinical data to demonstrate that I have MS he also denied medicla treatment in the ER.

4. The Doctor Refuses to Give the Medications:

I explicitly state to the ER doctor that the medical data was already given to Dr. Raffer and that he has an entire CD of data available to him. There would be no reason to do any other MRIs.

The ER doctor states “this is between you and Dr. Raffer”, which is absurd because it’s a emergency situation in an emergency room.

Rather then giving the medication (which would be sane) to reduce optic neuropathy, the doctor states "if you cant see then don’t drive" as if that were an option. Which is an insane statement.

If a person is going blind and goes to emergency room, you are required to given the medication. That's the point of ER to put a bandaid on it.

Methylpredniolone always helps with optic neuritis, there isn’t any time limit.

5. I am then Discharged:

In the next appointment with doctor Raffer its apparent that Dr. Raffer perpetuated medical negligence and assault in the previous setting by falsifying statements in this medical appointment report.  The ER physician consulted with Dr. Raffer to withhold medications.

It was clear that given the progression of the condition the medication was needed in that setting. I describe that the worsening of the condition is predictable, with the progression of pain down my spinal column that would eventually cause intermittant immobility.

Dr. Raffer proceeds to falsify statements pertaining to medical data or ignore medical data in the appointment.

These are instances of easy to demonstrate malice in medical settings.

My optic neuritis progressess.

Discharge Summary:

Falsified Discharge Summary Falsified Discharge Summary
Falsified Discharge Summary Falsified Discharge Summary
Falsified Discharge Summary

In Dr. Raffer's next medical appointment on May 12th 2017 he proceeds to lie about the quality of MRIs in the medical data and withhold medical treatment for clear Multiple Sclerosis. Thus completing the clinical assault.

A picture of the content of Dr. Raffer's CD is given below:

Falsified Discharge Summary

This qualifies Dr. Raffer for charges of assault in a medical institution. Failing to acknowledge the clear cause of the ER appointment (optic neuropathy), not prescribing the appropriate medications and not recommending the appropriate tests.

The appointment summary for May 12th 2017 is given below:

Falsified Discharge Summary Falsified Discharge Summary

A review of the appointment to demonstrate assault is given below:

Falsified Discharge Summary Falsified Discharge Summary

Dr. Raffer's medical report from May 12th 2017 is given below:

Doctor Raffer's Medical statements are clear examples of trying to further medical neglect to cause harm by a neurological syndrome and he never stabilized the condition, leaving the patient (me) in sever physical pain with progressive optic neuropathy and intermittent immobility. A statement by statement review of the document from his appointment is given below:

Falsified Discharge Summary Falsified Discharge Summary Falsified Discharge Summary Falsified Discharge Summary Falsified Discharge Summary

Dr. Nicholas Dembitsky in Sharp Rees-Stealy Downtown. The clinically false statements of Dr. Paul Raffer can be partically demonstrated by the reports of Dr. Nicholas Dembitsky (internal medicine doctor) in the same hospital.

The clinically false statements of Dr. Paul Raffer can be partically demonstrated by the reports of Dr. Nicholas Dembitsky (internal medicine doctor) in the same hospital. Since Dr. Nicholas doesnt have the capability to presecribe medications for neurology (because he is an internal medicine docotor), he explicitly states that presense of lesions in the spinal column and brain. He was aware that I had a gross need for medications for MS when I was in San Diego.

03.31.2017

Falsified Discharge Summary Falsified Discharge Summary
Falsified Discharge Summary Falsified Discharge Summary
Falsified Discharge Summary

05.05.2017

Falsified Discharge Summary Falsified Discharge Summary
Falsified Discharge Summary

08.02.2017

Falsified Discharge Summary Falsified Discharge Summary
Falsified Discharge Summary

After this assult in a clinical setting there is another instance of assault on August 26th 2017 in UCSD:

This instance is even more severe then the first instance.

The link is given here: https://narenjana.com/police/us/2017Aug16th